CAS No. 22042-96-2 (x-Na) 68155-78-2
(7-Na)
Molecular Formula: C9H21O15N3P5Na7
Molecular weight: 727
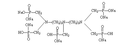
Structural Formula:

Properties:
DTPMP•Na7
is a scale inhibitor, for barium sulphate in particular and
a chelating agent.
DTPMP•Na7
can be used as stabilizer for peroxide bleaching, detergent
auxiliaries, in industrial & municipal cleaning water,
terrestrial heat water, oilfield water, etc.
Specification:
| Items |
Index |
| Appearance |
Umber transparent liquid |
| Active content (DTPMPA)%
> |
31.5-33.5 |
24.0-26.0 |
| Active content (DTPMP•Na7)% |
40.0-42.5 |
30.5-33.0 |
| Total phosphoric
acid(PO43-)% |
25.9-27.9 |
19.7-21.7 |
| Chloride ( as Cl-) % |
5.0 max |
5.0 max |
| Fe, mg/L |
10.0 max |
10.0 max |
| PH(1% water
solution) |
7.0-9.0 |
7.0-9.0 |
| Density (20℃) g/cm3 |
1.34-1.44 |
1.24-1.34 |
Package and Storage:
200L plastic drum, IBC(1000L),customers' requirement. Storage for ten months in shady room and dry place.
Safety Protection:
Avoid contact with eye and skin, once
contacted, flush with water.